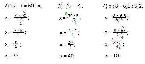
Два примера на пропорции - найдено 60 изображений
Найдено изображений: 60
Смотрите также
- Как выглядит настоящий мужчина
- Как выглядит заболевшее горло
- Как починить ютуб на телевизоре
- Кто из 6 кадров иноагент
- Ваз 2131 где находятся предохранители
- Кологривый никита и копейкин фото
- Как называется график функции y x
- Как снять тросовую кпп на гранте
- График 5 дней по 12 часов
- В в таблице менделеева 3 буквы
- Вырезать маленькие снежинки из бумаги схемы
- Кубик рубика 3х3 сборка для новичка схема
- Когда утвердить график отпусков на 2025 год
- Фото адмирала кузнецова корабль
- Реши пример 30 плюс 30
- Проектирование информационных систем курсовой проект
- Предохранитель стоп сигнала мондео 4
- Схема подключения твердотельного реле к тэну
- Примеры факторов какие выделяют типы новаторы
- Проект обучающего 2 класса какие бывают животные

